TEKS MC Jom Ke Sekolah PDF
BROSUR JOM KE SEKOLAH - Membalik Buku Halaman 1-7 FlipHTML5
Doa Rasmi Program Jom Ke Sekolah PDF
Majlis Permuafakatan KPM & PDRM : Program Jom ke Sekolah Peringkat 
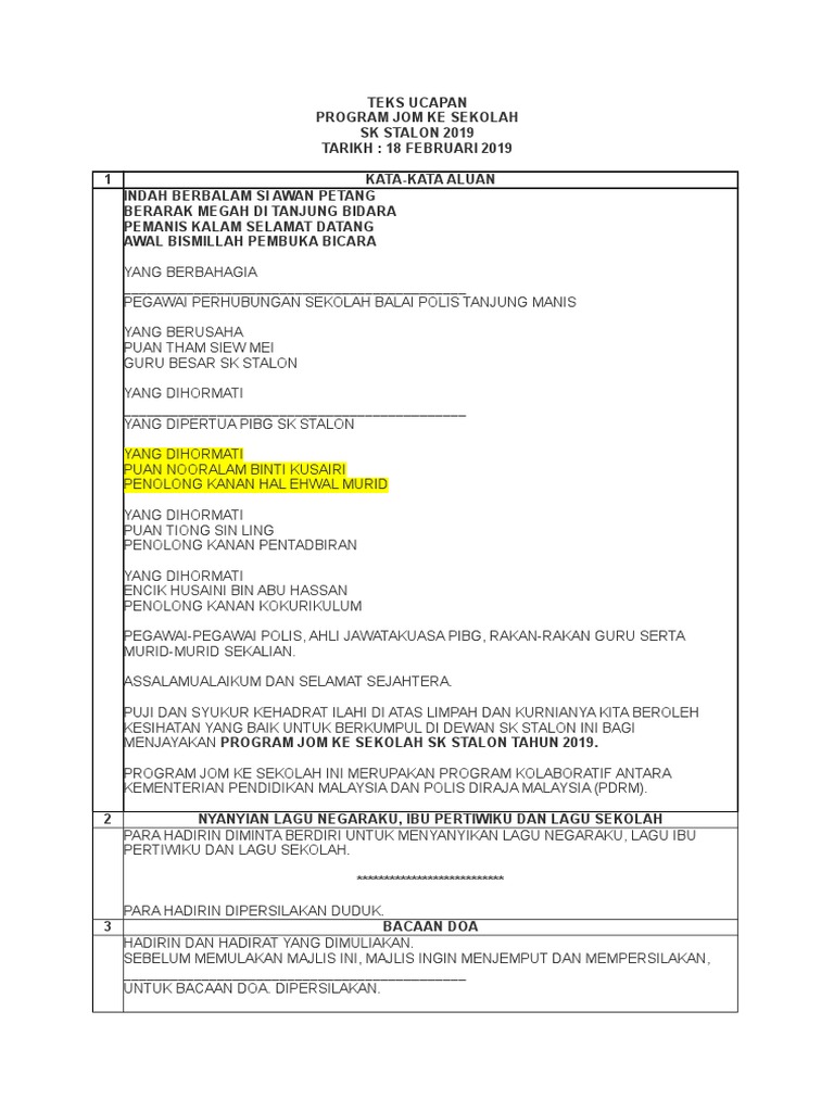
PROGRAM JOM KE SEKOLAH SKTSB 2019
PROGRAM JOM KE SEKOLAH - PSS SK Jelapang Jaya
BROSUR JOM KE SEKOLAH - Membalik Buku Halaman 1-7 FlipHTML5
PELANCARAN] Program Jom Ke Sekolah anjuran bersama PDRM - SK ![PELANCARAN] Program Jom Ke Sekolah anjuran bersama PDRM - SK](https://sktampasakkinarutpapar.files.wordpress.com/2019/04/img-20190220-wa0036-1.jpg)
PELANCARAN] Program Jom Ke Sekolah anjuran bersama PDRM - SK ![PELANCARAN] Program Jom Ke Sekolah anjuran bersama PDRM - SK](https://sktampasakkinarutpapar.files.wordpress.com/2019/04/img-20190220-wa0036-1.jpg)
Perasmian & Pelancaran Program Jom ke Sekolah tahun 2019
Jom Ke Sekolah: Info dan Maklumat Berkaitan Program - FLIP.MY
Buku Program Jom Ke Sekolah 2019 - Flip eBook Pages 1-7 AnyFlip
Tags:
archive